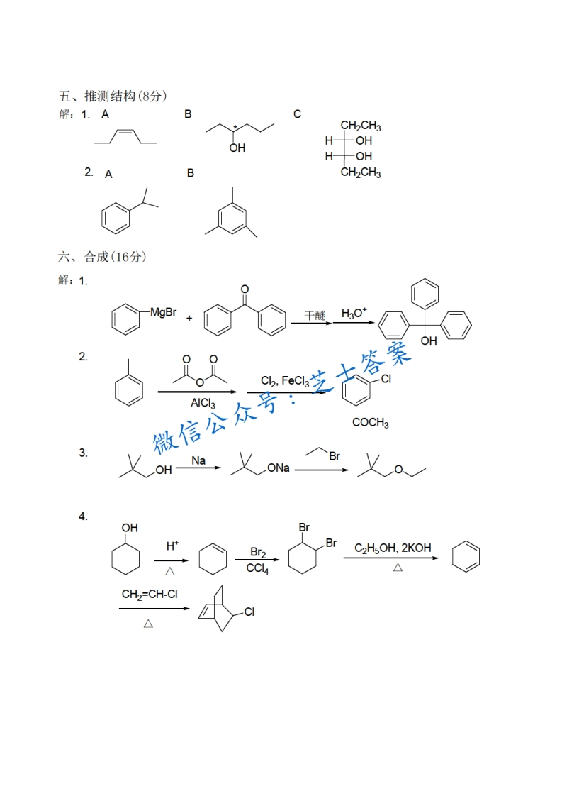
上海师范大学《有机化学》2006-2007学年第一学期期末试卷B卷猴哥6个月前更新关注私信1.14MB10页01W+958上海师范大学《有机化学》2006-2007学年第一学期期末试卷B卷此内容为付费资源,请付费后查看10积分年度会员免费月享会员免费登录购买付费资源已售 76 第1页 / 共10页 第2页 / 共10页 第3页 / 共10页 试读已结束,还剩7页,您可下载完整版后进行离线阅读 © 版权声明文章版权归作者所有,未经允许请勿转载。THE END《上海师范大学》期中期末历年真题期末试卷 喜欢就支持一下吧点赞958赞赏 分享QQ空间微博QQ好友海报分享复制链接收藏
暂无评论内容