青海大学《高等数学》2019-2020学年第二学期期末考试试卷及答案

青海大学《高等数学》2019-2020学年第二学期期末考试试卷及答案-学习资源网 - 学习助手专注分享优质学习资源
青海大学《高等数学》2019-2020学年第二学期期末考试试卷及答案
此内容为付费资源,请付费后查看
10积分
付费资源
已售 105

第1页 / 共5页

第2页 / 共5页

第3页 / 共5页
试读已结束,还剩2页,您可下载完整版后进行离线阅读
© 版权声明
THE END
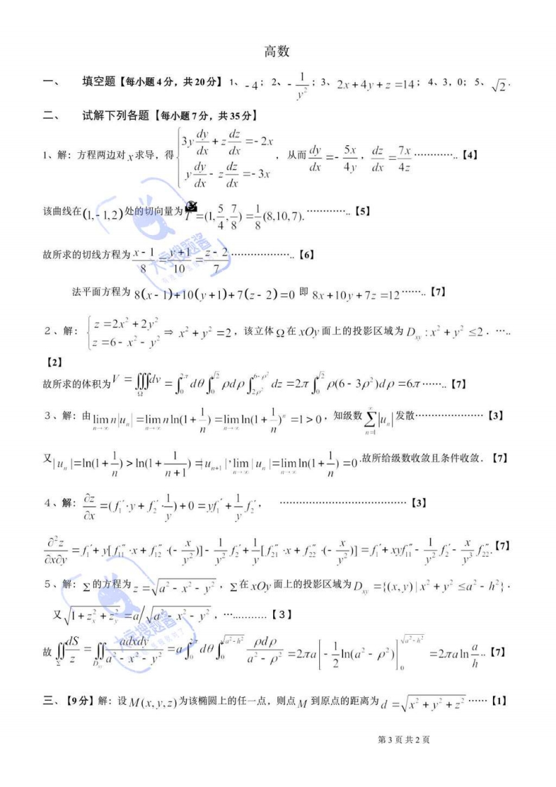
高数高等数学A(下册)期末考试试题【A卷】院(系)别班级学号姓名成绩大题四五六七小题5搜题得分填空题:(本题共5小题,每小题4分,满分20分,把答案直接填在题中横线上)1、已知向量6广满足X广=0了,个=2,个=2,则×6个2、设z=xln)则0xov3、曲面x+y'+2=9在点(1,2,4)处的切平面方程为4、设f是周期为27的周期函数,它在-元,)上的表达式为f)=x·则f)的傅里叶级数在x=3处收敛于,在x=T处收敛于一5、设L为连接(1,0)与(0,1)两点的直线段,则∫x+y)达二※以下各题在答题纸上作答,答题时必须写出详细的解答过程,并在每张答题纸写上:姓名、学号、班级.二、解下列各题:(本题共5小题,每小题7分,满分35分)1、求曲线2+3y+:=9在点M,山-1.2)处的切线及法平面方程2=3x2+y大房搜题2、求由曲面=2x2+2y2及:=6-2.y所围成的立体体积3、判定级数了()n”+1是否收敛?如果是收敛的,是绝对收敛还是条件收敛?4设:=f,+simy,其中f具有二阶连续偏导数,求正.02ax axoy5、计算曲面积0其中Σ是球面,+y'+:=a被平面:=h(0
喜欢就支持一下吧
点赞52赞赏 分享
评论 抢沙发

请登录后发表评论

    暂无评论内容